欢迎来到-化学加-六摩尔!客服热线:186-7688-2001

湖北扬信医药科技有限公司

癸酸正丁酯

cas:30673-36-0

英文名:butyl decanoate

顺式-11-十八烯酸甲酯

cas:1937-63-9

英文名:methyl octadec-11-enoate

癸酸乙酯

cas:110-38-3

英文名:ethyl decanoate

乙酸芳樟酯

cas:115-95-7

英文名:(R)-linalyl acetate

N,N-二乙基乙酰胺

cas:685-91-6

英文名:Diethylacetamide

癸二酸二甲酯

cas:106-79-6

英文名:Dimethyl sebacate

十四烷二酸

cas:821-38-5

英文名:tetradecanedioic acid

辛二酸二甲酯

cas:1732-09-8

英文名:Dimethyl suberate

Ruxolitinib Impurity 15

cas:2183286-19-1

英文名:Ruxolitinib Impurity 15

十二烷二酸

cas:693-23-2

英文名:dodecanedioic acid

Ruxolitinib Impurity 14

cas:1822969-98-1

英文名:Ruxolitinib Impurity 14

(R)-3-(4-溴-1H-吡唑-1-基)-3-环戊基丙腈

cas:1146629-83-5

英文名:(3R)-3-(4-bromopyrazol-1-yl)-3-cyclopentylpropanenitrile

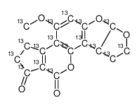
Aflatoxin G2-13C17 solution

cas:1217462-49-1

英文名:Aflatoxin G2-13C17 solution

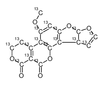
Aflatoxin B2-13C17 solution

cas:1217470-98-8

英文名:Aflatoxin B2-13C17 solution

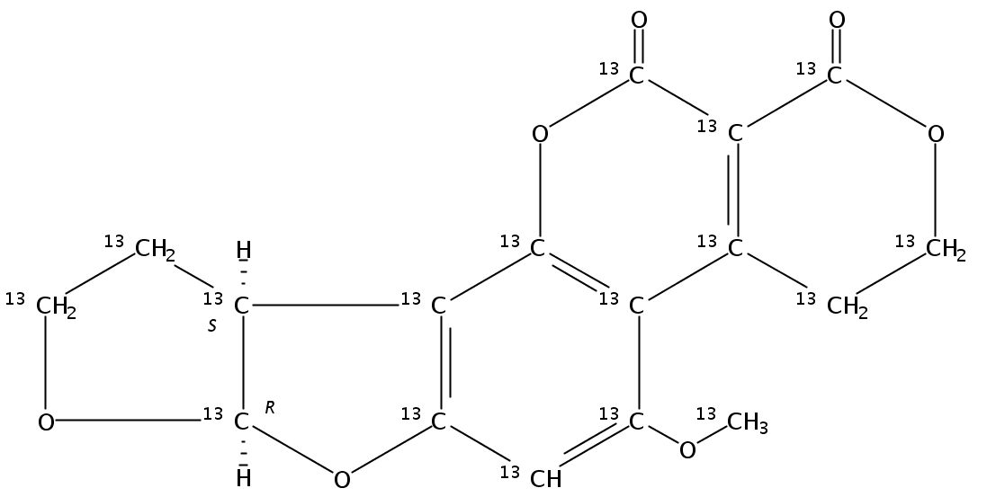
黄曲霉素 G1-13C17

cas:1217444-07-9

英文名:Aflatoxin G1-13C17 solution

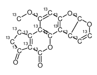
黄曲霉素 B1-13C17

cas:1217449-45-0

英文名:Aflatoxin B1-13C17 solution

供应商信息

企业vip标识

联系人:唐经理 点击这里给我发消息

号码一: 18672001512

号码二: 18672001512

网址:www.standardpharm.org.cn

VIP企业默认展示联系方式,非VIP企业仅限注册登录用户可见。

  • 公司类型:生产厂
  • 成立时间:2015-11-30
  • 注册资本:1000万元
  • 所在地区:湖北省黄石市