欢迎来到合成化学产业资源聚合服务平台化学加!客服热线 020-29116151、29116152
图片加载中
LOADING IMAGES
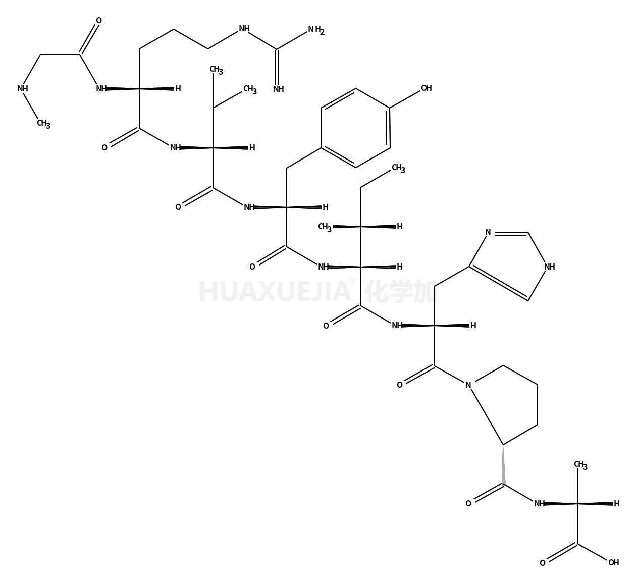
SAR-ARG-VAL-TYR-ILE-HIS-PRO-ALA

SAR-ARG-VAL-TYR-ILE-HIS-PRO-ALA

CAS号 38027-95-1
规格 1mg,5mg,50mg5mg/瓶
纯度 分析纯95%
货号 NJP201720
货期 ---
品牌 ---
库存 ---
注意:请务必与卖家联系核实单价库存,以确保您的资金安全及交易顺利。
参考价: 需询盘
货号 品牌 纯度 规格 参考价 货期
NJP200634 --- 分析纯95% 1mg,5mg,50mg5mg/瓶 需询盘 ---
NJP201720 --- 分析纯95% 1mg,5mg,50mg5mg/瓶 需询盘 ---
NJP71517 --- 97% 5克/瓶 需询盘 ---

产品百科查看更多

英文名 SAR-ARG-VAL-TYR-ILE-HIS-PRO-ALA
中文名 SAR-ARG-VAL-TYR-ILE-HIS-PRO-ALA: SAR-RVYIHPA
CAS号 38027-95-1 溶解性 ---
分子量 926.07300 熔点 ---
密度 1.41 g/cm3 沸点 ---

商家信息

南京肽业生物科技有限公司

营业执照已审核 企业已认证

联系人:刘刚 点击这里给我发消息

号码一: 187****

号码二: 187****

VIP企业默认展示联系方式,非VIP企业仅限注册登录用户可见

  • 公司类型:研发型
  • 成立时间:2013-05-15
  • 所在地区:江苏省南京市
  • 注册资本:100万元
推荐供应商

产品:SAR-ARG-VAL-TYR-ILE-HIS-PRO-ALA: SAR-RVYIHPA