| CAS号 | 137407-62-6 | ||
|---|---|---|---|
| 规格 | 1g | 纯度 | >98.0%(HPLC)(T) |
| 货号 | YDML8194 | 货期 | 需咨询 |
| 品牌 | --- | 库存 | 需咨询 |
| 规格 | 1g | ||
| 纯度 | >98.0%(HPLC)(T) | ||
| 货号 | YDML8194 | ||
| 货期 | --- | ||
| 品牌 | --- | ||
| 库存 | --- | ||
|
注意:请务必与卖家联系核实单价库存,以确保您的资金安全及交易顺利。 | |||
| 参考价: 需询盘 | |||
| 货号 | 品牌 | 纯度 | 规格 | 参考价 | 货期 |
|---|---|---|---|---|---|
| YDML8194 | --- | >98.0%(HPLC)(T) | 1g | 需询盘 | --- |
| 物理化学性质 | |||||
|---|---|---|---|---|---|
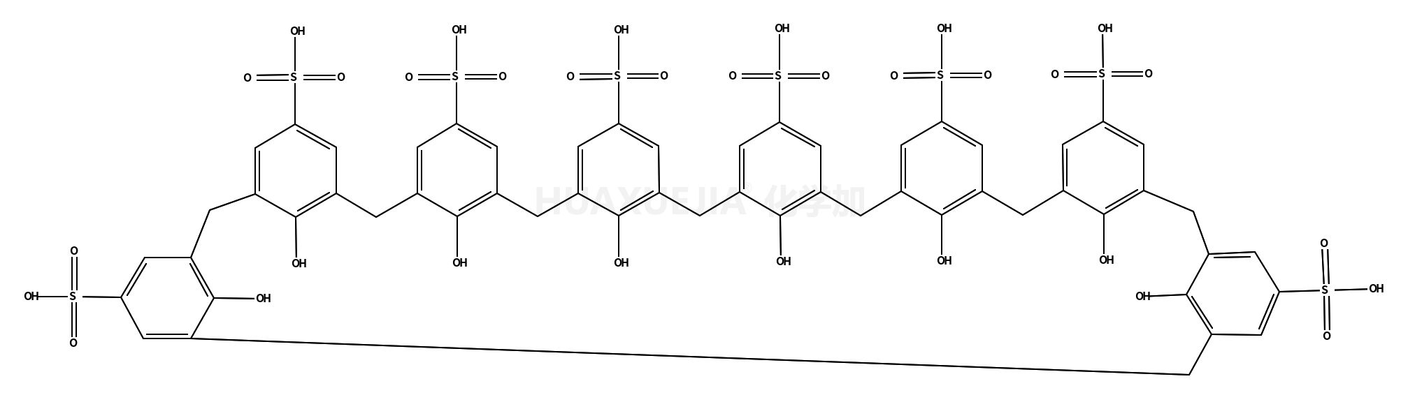
| 英文名 | 4-Sulfocalix[8]arene Hydrate | ||||
| 中文名 | 4-磺酸杯芳烃 | ||||
| CAS号 | 137407-62-6 | 溶解性 | --- | ||
| 分子量 | 1489.48000 | 熔点 | --- | ||
| 密度 | 1.786g/cm3 | 沸点 | --- | ||