| CAS号 | 19057-67-1 | ||
|---|---|---|---|
| 规格 | 10-100mg-g | 纯度 | 98%-99% |
| 货号 | YD-242 | 货期 | 需咨询 |
| 品牌 | 上海羽哚 | 库存 | 需咨询 |
| 规格 | 10-100mg-g | ||
| 纯度 | 98%-99% | ||
| 货号 | YD-242 | ||
| 货期 | --- | ||
| 品牌 | 上海羽哚 | ||
| 库存 | --- | ||
|
注意:请务必与卖家联系核实单价库存,以确保您的资金安全及交易顺利。 | |||
| 参考价: 需询盘 | |||
| 货号 | 品牌 | 纯度 | 规格 | 参考价 | 货期 |
|---|---|---|---|---|---|
| YD-242 | 上海羽哚 | 98%-99% | 10-100mg-g | 需询盘 | --- |
| 物理化学性质 | |||||
|---|---|---|---|---|---|
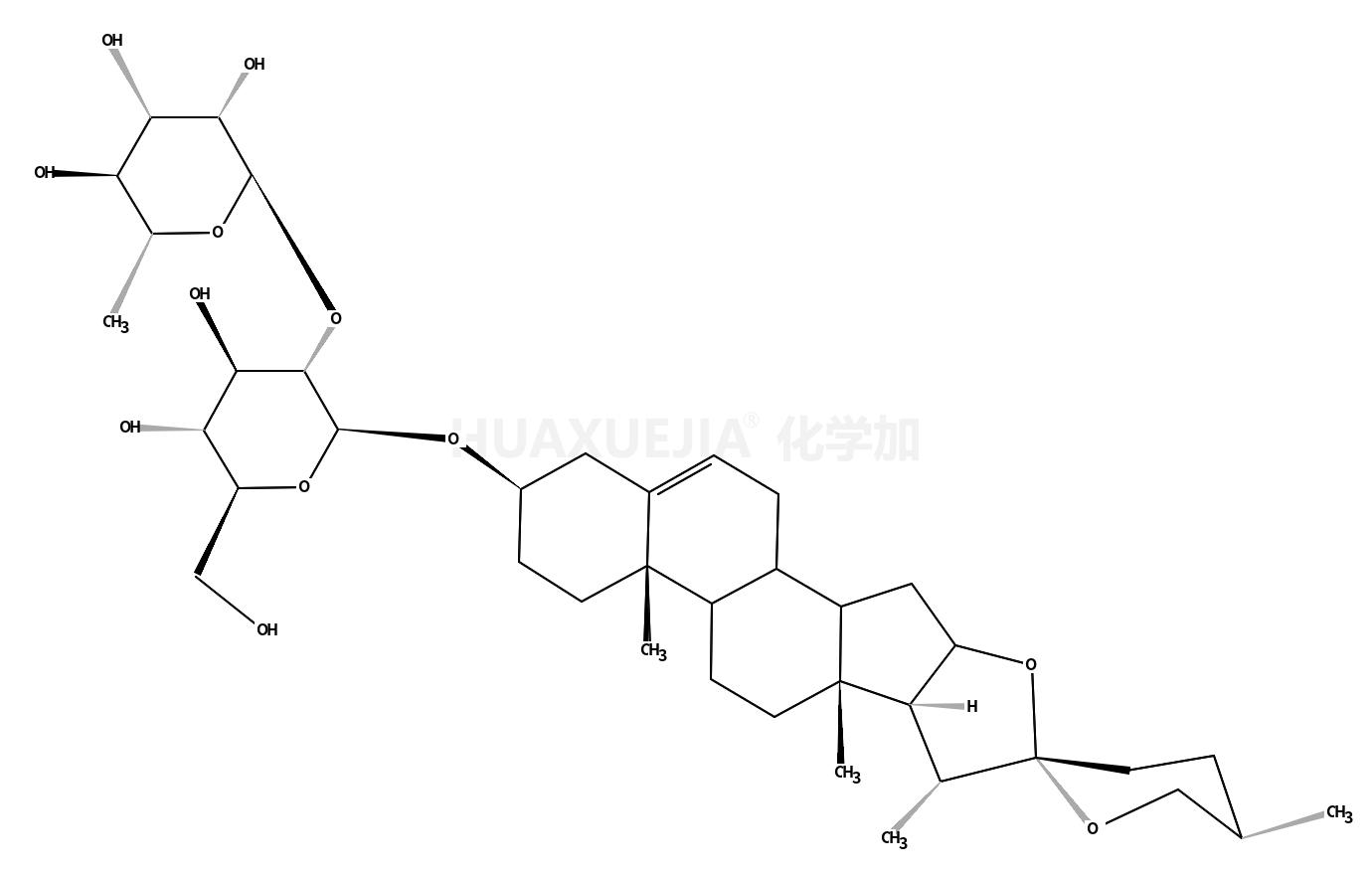
| 英文名 | ProsapogeninANLG of diocin | ||||
| 中文名 | 次皂甙元 A(薯蓣次皂苷A) | ||||
| CAS号 | 19057-67-1 | 溶解性 | --- | ||
| 分子量 | 722.90200 | 熔点 | 212℃ | ||
| 密度 | 1.344 g/cm3 | 沸点 | 838.82ºC at 760 mmHg | ||