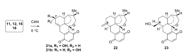
(−)-Pleurotin (1) 和 (+)-dihydropleurotinic acid (2) 是从真菌中分离得到的苯醌类杂萜,具有强效广谱的抗肿瘤和抗菌活性,尤其表现为硫氧还蛋白还原酶 (TrxR) 的强效抑制剂。然而,由于可修饰的官能团位点有限,其半合成衍生物的开发几乎尚未开展。为了解决这一难题,苏州大学龙亚秋教授/黄斌副教授团队开发了灰侧耳菌素类天然产物的不对称合成中用于F 环内酯构建的收尾策略,由此获得了此前未能实现的C7-及轴向C8官能化的灰侧耳菌素衍生物。具体而言,利用选择性烯丙位氧化实现了C7官能化,并通过Tebbe烯化/硼氢化氧化,成功制备了前所未有的C8-轴向取代衍生物,这些转化均源自可规模制备的五环骨架中间体7。新获得的衍生物对TrxR过表达的肿瘤细胞具有显著的杀伤作用,其中C8-轴向取代的化合物23对TrxR的抑制活性分别较灰侧耳菌素(1)和阳性对照药物金诺芬提升了9倍和16.7倍。该迂回的收尾策略为此前无法获得的多样化衍生物提供了合成途径,拓展了灰侧耳菌素类天然产物的化学与生物学空间,并为转化医学应用奠定了良好基础。
图文导读

Figure 1. Representative examples of pleurotin natural products, and our devised C7-/C8-axially accessible analogs based on late-stage functionalization strategy.

Scheme 1. Alternative endgame strategies to construct the F ring in the synthesis of pleurotin natural products enabling late-stage functionalization.

Scheme 2. Synthesis and C14 selective oxidation exploration of 7 (Strategy A).

Scheme 3. The detoured endgame strategies (Strategy B) to the total synthesis of dihydropleurotinic acid (2) and pleurotin (1), providing C8-axial functionalizable intermediate.

Scheme 4. Synthesis of previously unavailable C7/C8-functionalized pleurotin analogs, harnessing the corresponding pentacyclic scaffold intermediates resulting from the alternative endgame strategy.
Table 1. The antiproliferative activities (IC50 values, Mean ± SD [μM], 72 h) of 21a, 21b, 22, 23, and 1 against MDA-MB-231 and HepG2 cell lines, and their inhibitory potency against the isolated TrxR1 enzyme.

论文信息
Diversifiable total synthesis of pleurotin natural products through alternative endgame strategies enabling unprecedented C7-/C8 axial-functionalization.
Jing Pang#, Nan Cao#, Ya-Shuang Dai#, Xiaolei Huang, Yanli Liu, Bin Huang⁎, Ya-Qiu Long⁎.
原文链接:https://doi.org/10.1021/acs.orglett.5c03701
声明:化学加刊发或者转载此文只是出于传递、分享更多信息之目的,并不意味认同其观点或证实其描述。若有来源标注错误或侵犯了您的合法权益,请作者持权属证明与本网联系,我们将及时更正、删除,谢谢。 电话:18676881059,邮箱:gongjian@huaxuejia.cn