| CAS号 | 75790-53-3 | ||
|---|---|---|---|
| 规格 | 不限mg/瓶,g/瓶,kg/瓶 | 纯度 | 粗品,>75%,>85%,>90%,>95%,>98% |
| 货号 | leon-0504 | 货期 | 需咨询 |
| 品牌 | leon | 库存 | 需咨询 |
| 规格 | 不限mg/瓶,g/瓶,kg/瓶 | ||
| 纯度 | 粗品,>75%,>85%,>90%,>95%,>98% | ||
| 货号 | leon-0504 | ||
| 货期 | --- | ||
| 品牌 | leon | ||
| 库存 | --- | ||
|
注意:请务必与卖家联系核实单价库存,以确保您的资金安全及交易顺利。 | |||
| 参考价: 需询盘 | |||
| 货号 | 品牌 | 纯度 | 规格 | 参考价 | 货期 |
|---|---|---|---|---|---|
| leon-0504 | leon | 粗品,>75%,>85%,>90%,>95%,>98% | 不限mg/瓶,g/瓶,kg/瓶 | 需询盘 | --- |
| 物理化学性质 | |||||
|---|---|---|---|---|---|
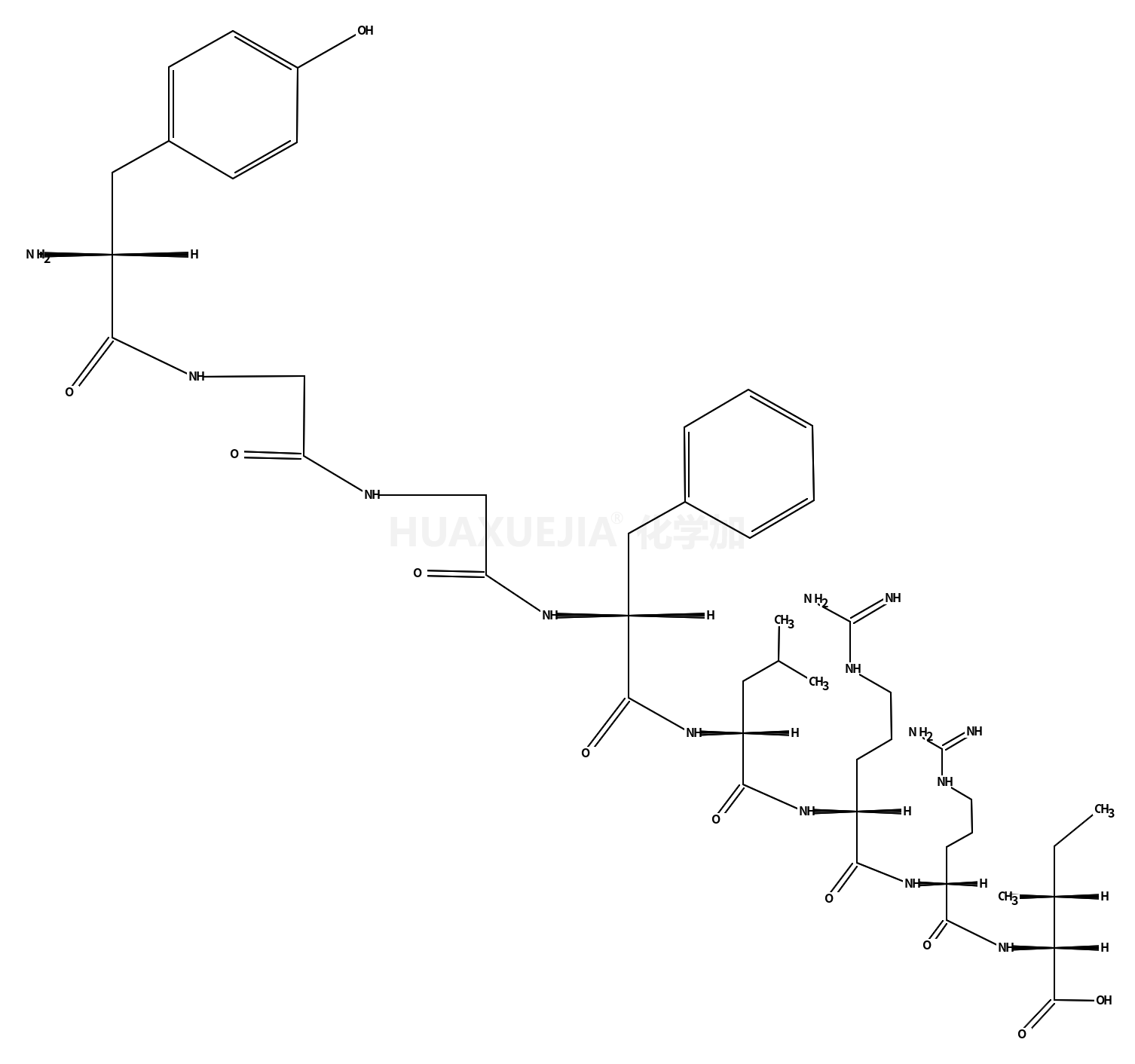
| 英文名 | Dynorphin A (1-8), porcine,YGGFLRRI | ||||
| 中文名 | 强啡肽1~8片段 | ||||
| CAS号 | 75790-53-3 | 溶解性 | --- | ||
| 分子量 | 981.15200 | 熔点 | --- | ||
| 密度 | 1.38g/cm3 | 沸点 | --- | ||