| CAS号 | 79775-19-2 | ||
|---|---|---|---|
| 规格 | 不限mg/瓶,g/瓶,kg/瓶 | 纯度 | 粗品,>75%,>85%,>90%,>95%,>98% |
| 货号 | leon-1295 | 货期 | 需咨询 |
| 品牌 | leon | 库存 | 需咨询 |
| 规格 | 不限mg/瓶,g/瓶,kg/瓶 | ||
| 纯度 | 粗品,>75%,>85%,>90%,>95%,>98% | ||
| 货号 | leon-1295 | ||
| 货期 | --- | ||
| 品牌 | leon | ||
| 库存 | --- | ||
|
注意:请务必与卖家联系核实单价库存,以确保您的资金安全及交易顺利。 | |||
| 参考价: 需询盘 | |||
| 货号 | 品牌 | 纯度 | 规格 | 参考价 | 货期 |
|---|---|---|---|---|---|
| leon-1295 | leon | 粗品,>75%,>85%,>90%,>95%,>98% | 不限mg/瓶,g/瓶,kg/瓶 | 需询盘 | --- |
| 物理化学性质 | |||||
|---|---|---|---|---|---|
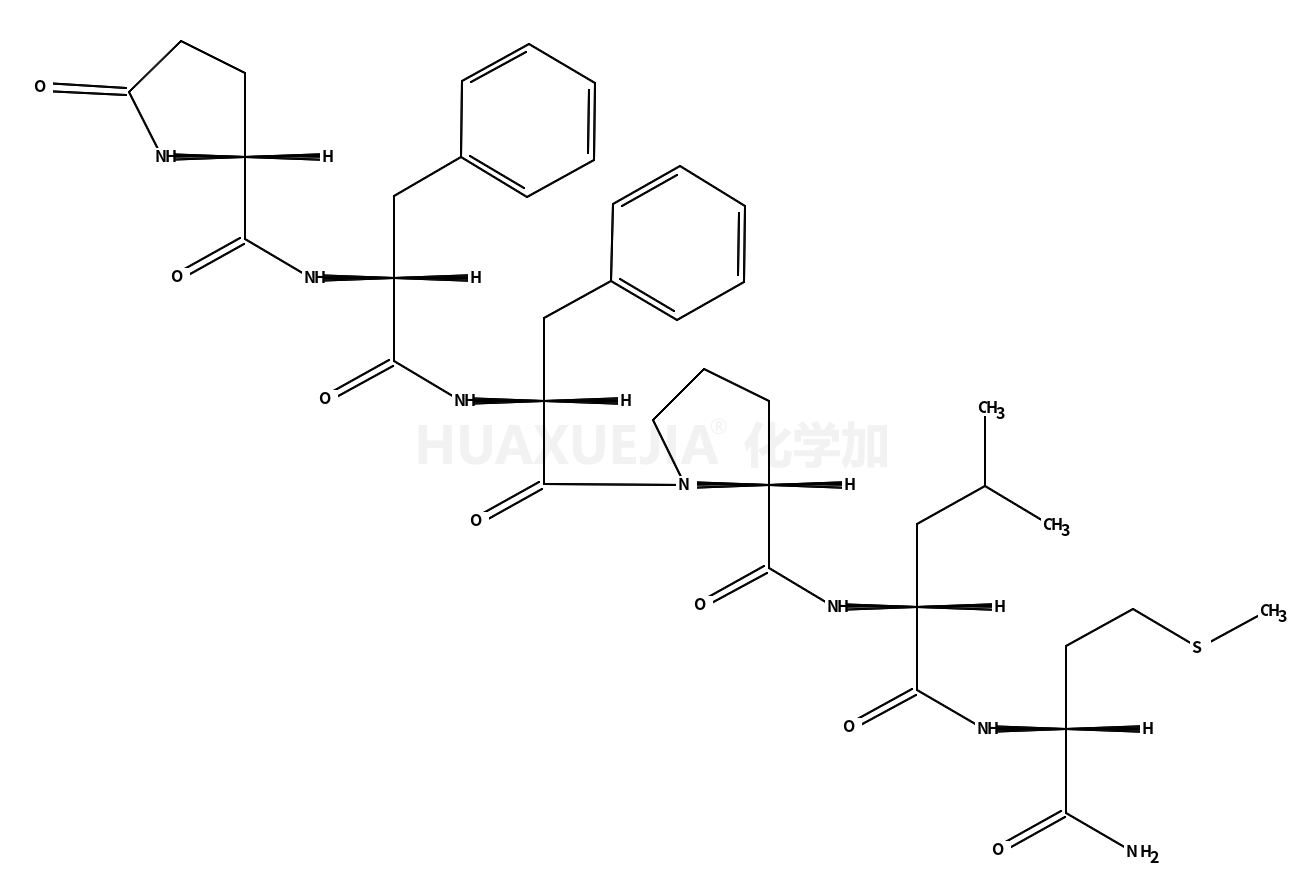
| 英文名 | [Pyr6,Pro9]-Substance P (6-11) | ||||
| 中文名 | (PYR6,PRO9)-SUBSTANCE P (6-11) | ||||
| CAS号 | 79775-19-2 | 溶解性 | --- | ||
| 分子量 | 850.87400 | 熔点 | --- | ||
| 密度 | 1.255g/cm3 | 沸点 | 1189.4ºC at 760 mmHg | ||