| CAS号 | 120287-85-6 | ||
|---|---|---|---|
| 规格 | 管5mg | 纯度 | 98% |
| 货号 | APD014 | 货期 | 需咨询 |
| 品牌 | 楚肽生物 | 库存 | 需咨询 |
| 规格 | 管5mg | ||
| 纯度 | 98% | ||
| 货号 | APD014 | ||
| 货期 | --- | ||
| 品牌 | 楚肽生物 | ||
| 库存 | --- | ||
|
注意:请务必与卖家联系核实单价库存,以确保您的资金安全及交易顺利。 | |||
| 参考价: 需询盘 | |||
| 货号 | 品牌 | 纯度 | 规格 | 参考价 | 货期 |
|---|---|---|---|---|---|
| APD014 | 楚肽生物 | 98% | 管5mg | 需询盘 | --- |
| 物理化学性质 | |||||
|---|---|---|---|---|---|
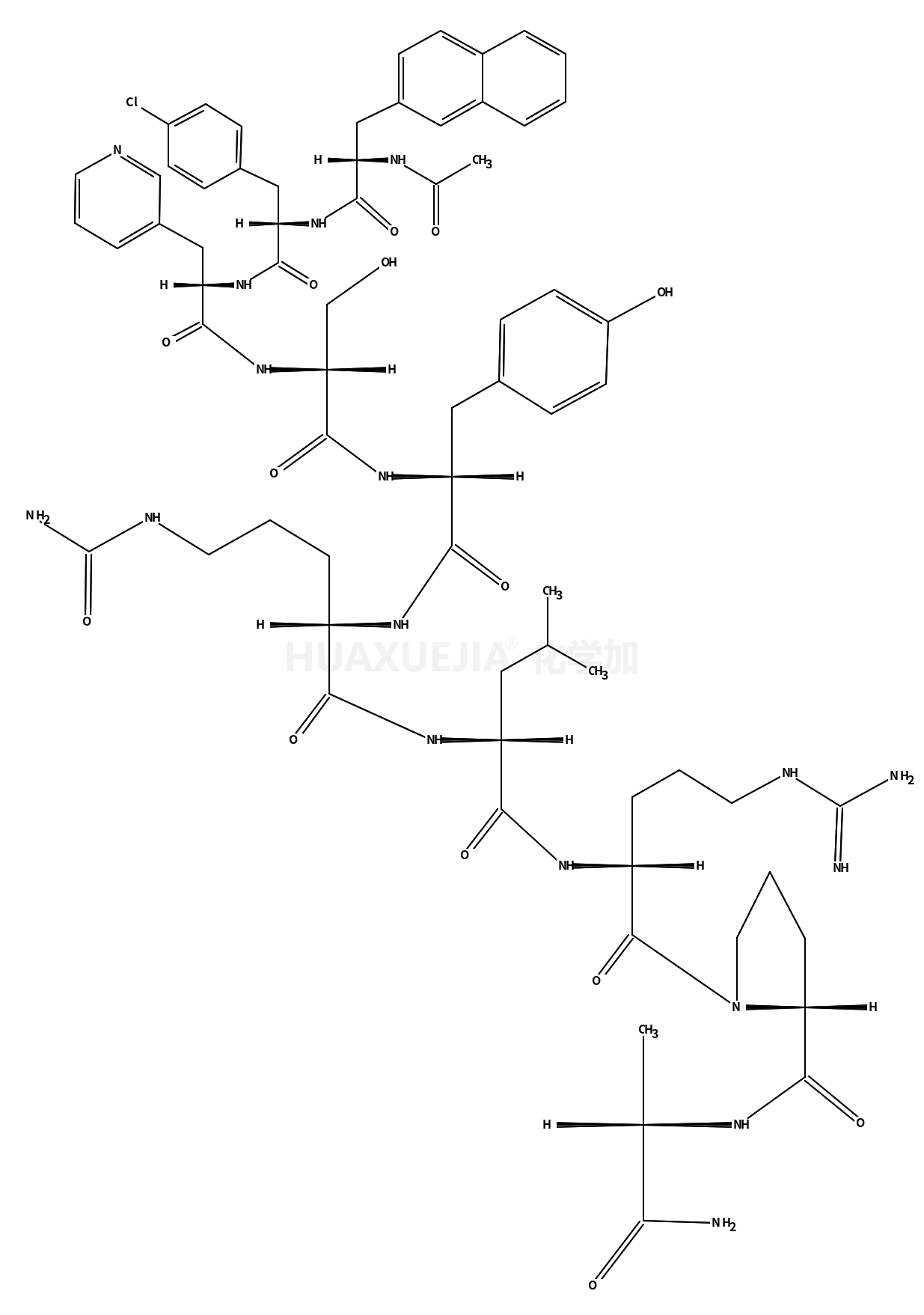
| 英文名 | cetrorelix | ||||
| 中文名 | 醋酸西曲瑞克 | ||||
| CAS号 | 120287-85-6 | 溶解性 | --- | ||
| 分子量 | 1431.04000 | 熔点 | --- | ||
| 密度 | 1.42g/cm3 | 沸点 | --- | ||