欢迎来到合成化学产业资源聚合服务平台化学加!客服热线 020-29116151、29116152
图片加载中
LOADING IMAGES
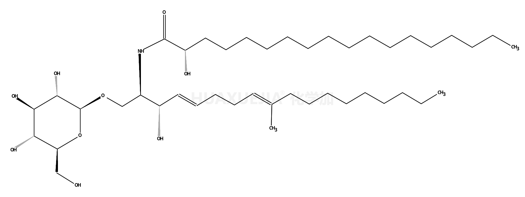
脑苷脂D

脑苷脂D

CAS号 113773-89-0
规格 5mg/瓶
纯度 HPLC≥96.5%
货号 B33491-5mg
货期 2-3天
品牌 Fifan
库存 ---瓶
注意:请务必与卖家联系核实单价库存,以确保您的资金安全及交易顺利。
参考价: ¥4400.00 元/瓶
货号 品牌 纯度 规格 参考价 货期
B33491-5mg Fifan HPLC≥96.5% 5mg/瓶 ¥4400.00元/瓶 2-3天

产品详情

详细信息(中文):
脑苷脂D 【cas】113773-89-0 【分子式】C43H81NO9 【分子量】756.6 【保存条件】2-8℃ 【外观】粉末 【品牌】Fifan 【货号】B33491-5mg 【规格】HPLC≥96.5% 上海源叶生物科技有限公司www.shyuanye.com 400-666-5481
详细信息(英文):
Cerebroside D

产品百科查看更多

英文名 Cerebroside D
中文名 ---
CAS号 113773-89-0 溶解性 ---
分子量 756.105 熔点 ---
密度 --- 沸点 ---

商家信息

上海源叶生物科技有限公司

营业执照已审核 企业已认证 vip企业标识

联系人:谭小勇 点击这里给我发消息

号码一: 15821378715

号码二: 13585869821

  • 公司类型:试剂型
  • 成立时间:2009-08-28
  • 所在地区:上海市市辖区
  • 注册资本:500万元
推荐供应商

产品: